Ticker

6/recent/ticker-posts

Basic Electrical Tutorial/ Numerical Solutions

 

A 60 watt 240 incandescent lamp is switched on at 20 degree celcius.

A carbon resistor has resistance of 800 ohm at 20 degree celcius. Determine its resistance at 100 degree celcius and -100 degree celcius
Temperature rise of a machine field winding was determined by measurement of winding resistance at 20 degree celcius.




A semiconductor copper ring has diameter of 80 mm, radial thickness of 40 mm and axial thickness of 60mm.

Coil of a relay takes a current of 0.12 A, when it is at the room temperature of 15 degrees and connected across 60 V supply.

Two resistors of different materials having temperature coefficients of resistances 0.004 and 0.005/K are connected in parallel and consume equal power

A coil has resistance of 100 ohm, when the mean temperature is 20 degree celcius and 110 ohm when the mean temperature is 45 degrees.


Find the resistance at 20 degree of 2 km of copper wire across cross sectional area of 0.1 sq cm.

Three resistances 100 ohm, 200 ohm and 300 ohm are connected in series to a 250 V supply.

Calculation of voltage supply, total resistance and current supply

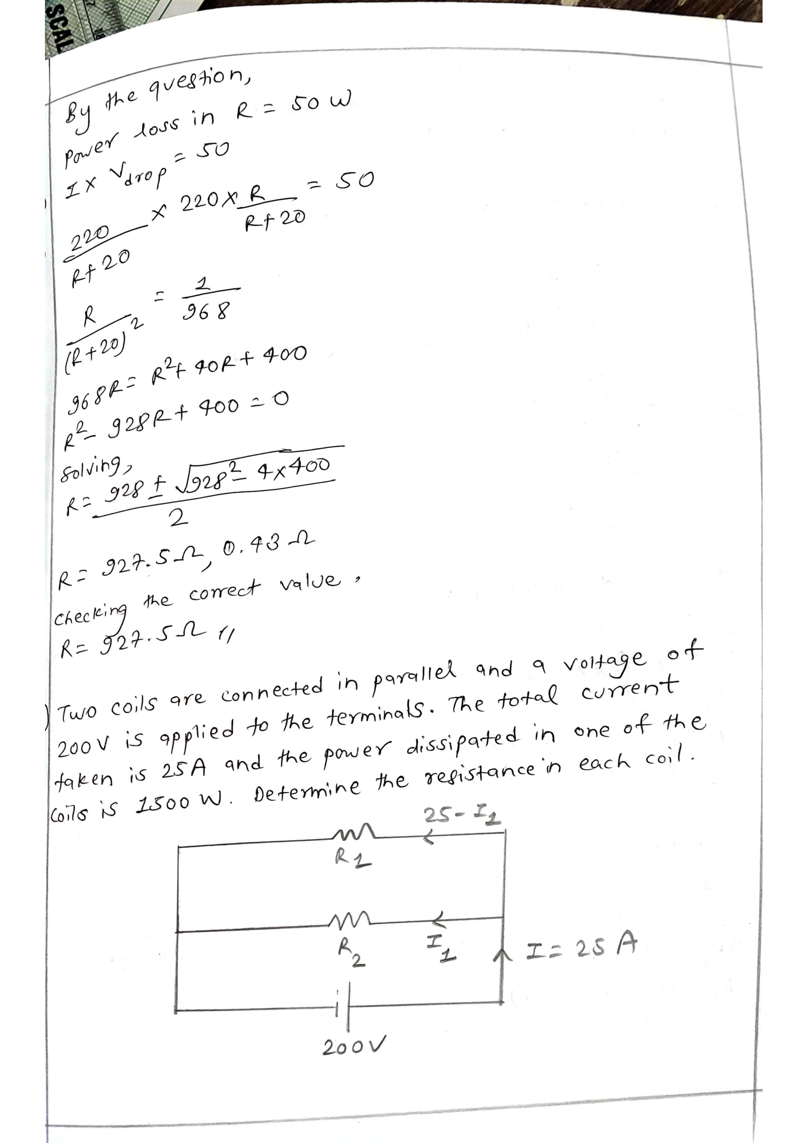
Two coils are connected in parallel and a voltage of 200 V is applied to the terminals.

Three resistors of 16 ohm, 24 ohm and 32 ohm are connected in parallel and takes a total current of 5.2A.

A 150 Ohm resistance coil AB is connected across 240 dc supply.

A DC circuit comprises the resistors A of value 15 ohm and B of unknown value connected in parallel, together with a third resistor C



A wheatstone bridge ABCD is arranged as follows: AB=1 ohm, BC=2 ohm, CD=3 ohm, DA=4 ohm.



                                                                    



A bridge network ABCD has AB=6 ohm, BC=12 ohm, CD=10 ohm and DA=3 ohm. A galvanometer of resistance 20 ohm is connected between B and D and a battery of emf 2V and negligible internal resistance is connected between A and C. Calculate the current in the galvanometer.









Post a Comment

0 Comments